目 录
摘 要
随着旅游业的蓬勃发展,民宿行业对高效运营管理的需求日益增长。为解决传统管理模式效率低、信息分散等问题,基于Spring Boot和Java技术构建了民宿业务管理系统,结合MySQL数据库实现数据存储与交互,为平台用户、商家及管理员提供一站式数字化解决方案。系统通过模块化设计,覆盖房源管理、订单处理、客户互动及数据分析等核心功能,满足民宿业务全生命周期的管理需求。
平台用户可浏览民宿资讯、在线咨询商家、完成预订及入住操作,并通过点赞、收藏等功能参与互动,商家用户可发布与维护房源信息,审核订单并安排入住,实时掌握经营动态,管理员则负责用户审核、数据统计及系统配置,保障平台运行规范性。系统采用Spring Boot框架实现快速开发与高并发支持,依托MySQL的稳定性与高效性,确保数据安全与响应速度。通过整合轮播图管理、公告发布、群聊功能等模块,系统优化了信息传播与沟通效率,提升了用户体验与运营效率,为民宿行业的数字化转型提供了可靠的技术支撑。
关键词:民宿业务管理系统;springboot框架;Java技术
Abstract
As the tourism industry thrives, the demand for efficient operation and management in the homestay sector is growing. To address issues such as low efficiency and information fragmentation in traditional management models, a homestay business management system has been developed using Spring Boot and Java technologies. This system integrates MySQL databases to achieve data storage and interaction, providing a one-stop digital solution for platform users, merchants, and administrators. Through modular design, the system covers core functions including property management, order processing, customer interaction, and data analysis, meeting the comprehensive lifecycle management needs of homestay businesses.
Platform users can browse homestay information, consult with merchants online, complete booking and check-in operations, and participate in interactions through functions such as liking and collecting. Merchant users can post and maintain property listings, review orders, and arrange check-ins, while administrators are responsible for user reviews, data statistics, and system configuration to ensure the platform operates in compliance. The system uses the Spring Boot framework for rapid development and high concurrency support, leveraging MySQL's stability and efficiency to ensure data security and response speed. By integrating modules like carousel management, announcement posting, and group chat, the system optimizes information dissemination and communication efficiency, enhancing user experience and operational efficiency, providing reliable technical support for the digital transformation of the homestay industry.
Key words: homestay business management system; springboot framework; Java technology
第一章 绪 论
1.1研究背景及意义
随着旅游业持续发展,民宿行业规模不断扩大,传统管理模式在房源调配、订单处理及客户沟通等方面逐渐显现出效率低下的问题。大量民宿经营者依赖人工记录和分散的信息渠道,导致数据更新滞后、服务响应缓慢,难以满足用户对个性化体验和即时反馈的需求。同时,平台用户在预订、入住及售后环节中常面临信息不对称、流程繁琐等痛点,影响整体体验。为适应行业发展趋势,构建一套集信息整合、业务协同与数据驱动于一体的管理系统成为迫切需求。通过系统化工具规范运营流程、提升服务透明度,能够有效解决行业痛点,推动民宿业务向标准化、智能化方向演进。
民宿业务管理系统的开发围绕用户、商家与管理员三类核心角色展开,覆盖从房源展示到退房结算的全业务链。系统通过模块化设计实现功能解耦,例如平台用户可在线完成资讯浏览、民宿预订及多维度互动,商家用户能实时掌握订单动态并优化房源管理,管理员则具备全局数据监控与资源调度能力。基于Spring Boot框架的高并发处理能力和MySQL数据库的稳定性,系统在保障数据安全的同时提升响应速度,降低运维成本。这一技术方案不仅解决了传统管理模式中的信息孤岛问题,还通过流程自动化减少人工干预,提升服务效率。系统的落地应用有助于优化民宿行业资源配置,增强用户黏性,为经营者创造可持续价值,并为行业数字化转型提供可复制的实践范式。
1.2国内外研究现状
国外民宿管理系统的研究与实践起步较早,形成了较为成熟的体系。以美国为例,平台如Airbnb、Booking.com等通过在线预订、房源管理、客户服务等功能整合,构建了覆盖全业务链的数字化解决方案。这些系统注重多平台数据同步,例如支持智能门锁、房态实时更新及多语言服务,满足了国际游客的多样化需求。同时,国外研究强调民宿管理的精细化与品牌化,通过个性化服务设计和客户关系管理(CRM)功能,提升用户黏性。例如,Airbnb的“空间管理”模块整合预订数据与市场分析工具,帮助经营者优化定价策略。此外,学术研究聚焦于民宿与社区发展的互动关系,探讨其对地方经济和文化交流的推动作用,为行业提供了理论支撑。
国内民宿管理系统的研究与应用尚处于快速发展阶段,呈现出需求驱动与问题导向并存的特点。一方面,携程、美团等平台成为民宿主要销售渠道,但行业普遍面临管理机制不畅、合规性不足等问题。例如,部分民宿因产权不清或消防设施不达标难以取得经营资质,导致证照不全现象普遍。另一方面,数字化进程逐步推进,但整体水平仍较低。多数民宿依赖OTA平台进行宣传和预订,但在数据自主性、智能化服务(如自助入住设备)普及率方面存在短板。学术研究多集中于民宿开发模式、设计策略及政策保障等领域,例如对乡村民宿与旅游经济融合路径的探讨。同时,地方性管理系统(如广东省旅游民宿管理系统)的探索,通过整合资源备案、安全监管及评价反馈功能,试图解决行业标准化难题。然而,国内系统在功能集成度、用户体验优化及成本控制方面仍需进一步突破,以适应民宿行业规模化与个性化并存的发展需求。
1.3论文组织结构
本论文共分为七个主要章节,具体结构如下:
1. 绪论:介绍研究背景与意义,回顾国内外研究现状,并概述论文的组织结构。
2. 相关技术介绍:详细介绍与本研究相关的技术,包括Java语言、B/S框架、springboot框架、Vue技术和MySQL数据库。
3. 需求分析:对系统的功能需求和非功能需求进行分析,明确用户和管理员的需求,并进行可行性分析,包括技术、操作和经济可行性。
4. 系统设计:涵盖系统架构设计、系统模块设计,并进行数据库的概念设计与表设计。
5. 系统实现:具体描述各个功能模块的实现过程,展示系统如何根据需求进行开发。
6. 系统测试:阐述测试的目的,分析测试结果并得出结论,以验证系统的稳定性和功能完整性。
7. 总结:总结研究的主要成果和贡献,指出存在的不足及未来的研究方向。
第二章 关键技术
2.1Java语言
Java语言是一种广泛使用的高级编程语言,具有平台无关性、面向对象特性和丰富的标准库。Java通过Java虚拟机(JVM)实现跨平台运行,开发者可以编写一次代码,在任何支持JVM的环境中执行[1]。Java的面向对象特性使得代码复用和模块化变得更加容易,促进了软件的维护和扩展。Java支持多线程编程,允许开发者在同一程序中同时执行多个任务,提升了应用程序的性能。
Java语言的语法结构简洁且易于理解,吸引了大量开发者。Java的标准库包含数据结构、输入输出处理、网络编程等众多功能模块。这使得开发者在构建应用程序时能够高效利用已有工具,减少重复劳动。Java广泛应用于企业级应用、移动应用、Web开发和大数据处理等领域。
2.2 B/S框架
B/S(Browser/Server)架构是一种基于浏览器和服务器的系统架构模式,用户通过浏览器与服务器进行交互。B/S架构简化了客户端的部署和管理,用户无需在本地安装复杂的软件,只需使用标准浏览器即可访问应用程序。服务器端负责处理业务逻辑和数据存储,客户端则主要负责展示用户界面和数据交互[2]。B/S架构的设计使得系统更新和维护集中在服务器端,降低了维护成本。
B/S架构通常采用Web技术进行实现,包括HTML、CSS和JavaScript等。用户在浏览器中发起请求,服务器响应并返回数据。数据传输通常通过HTTP或HTTPS协议进行,B/S架构的灵活性使其适用于在线购物、信息管理系统和社交网络等各类应用场景[3]。由于其易于扩展性,B/S架构可以方便地支持大规模用户访问,适应不断变化的业务需求。
2.3 SpringBoot框架
SpringBoot框架是基于Spring框架的开源项目,简化Java应用程序的开发过程。SpringBoot通过约定优于配置的理念,减少了传统Spring应用的繁琐配置,开发者可以快速搭建和部署应用程序。框架提供了一系列默认配置,支持自动化配置,简化了应用启动的复杂性[4]。SpringBoot内置了嵌入式Web服务器,使得开发者能够独立运行Java应用,无需外部容器。
SpringBoot支持微服务架构,开发者可以轻松创建和管理多个微服务。框架集成了丰富的功能模块,包括安全、数据访问和消息中间件等,支持RESTful API和JSON数据格式的处理[5]。SpringBoot还提供了强大的监控和管理功能,允许开发者实时监控应用的健康状态和性能指标。借助SpringBoot,开发者能够高效构建和维护现代企业级应用,满足复杂业务需求。
2.4 Vue技术
Vue是一种渐进式JavaScript框架,专注于构建用户界面。Vue采用组件化的开发模式,允许开发者将应用程序拆分为独立的、可重用的组件,从而提高了开发效率和代码的可维护性[6]。框架的核心库专注于视图层,支持数据绑定和DOM操作,提供了简洁的API。Vue的虚拟DOM机制提升了应用的性能,减少了实际DOM操作的次数。
Vue支持双向数据绑定,能够自动更新视图与模型之间的变化。开发者可以通过Vue的指令系统,简化数据展示和事件处理。Vue还支持路由管理和状态管理,使得开发复杂单页面应用变得更加容易[7]。借助Vue的生态系统,开发者能够使用多种工具和库来扩展功能,满足不同的业务需求。Vue在前端开发中逐渐成为主流选择,受到广泛关注和应用。
2.5 MySQL数据库
MySQL是一种开源关系型数据库管理系统,广泛应用于Web应用和企业级数据存储。MySQL支持结构化查询语言,允许开发者通过标准语句进行数据的创建、读取、更新和删除操作[8]。数据库通过表格形式组织数据,支持数据完整性和约束条件的定义。MySQL的存储引擎机制使得用户可以根据具体需求选择不同的存储引擎,以优化性能和功能。
MySQL具有高性能和可扩展性,支持大规模数据存储和高并发访问。系统提供了丰富的用户权限管理和数据加密安全特性。
第三章 系统分析
3.1系统可行性分析
3.1.1技术可行性
本系统采用Spring Boot作为后端开发框架,结合Vue.js进行前端开发,使用MySQL作为数据库管理系统,具备良好的兼容性与稳定性。Spring Boot简化了项目的配置流程,提高了开发效率,Vue.js支持组件化开发,增强了用户界面的交互体验,MySQL提供了可靠的数据存储和高效的查询性能。这些技术均为当前主流且成熟的开发工具,拥有丰富的文档资源和技术社区支持,能够满足系统的功能需求和性能要求,因此在技术上是完全可行的。
3.1.2经济可行性
系统开发所需软件均为开源工具,服务器部署可采用成本较低的云主机方案,硬件投入较少,运维成本可控。相较于传统人工管理模式,系统上线后可通过自动化流程减少人力消耗,提高订单处理效率与客户满意度,从而提升民宿运营收益。此外,平台可吸引更多的用户和商家入驻,扩大市场影响力。综合来看,系统的开发与运行具有较低的初期投入和较高的潜在回报,具备良好的经济可行性。
3.1.3操作可行性
系统界面设计简洁直观,功能布局清晰,用户可快速完成注册、登录、浏览、预订等常见操作。商家后台提供民宿信息管理、订单审核、入住安排等功能,管理员界面则集成用户管理、数据统计与系统配置选项,满足不同角色的操作需求。系统配套完善的操作提示与使用说明,降低学习门槛,无需专业培训即可上手使用,整体具备较强的操作可行性。
3.2系统性能需求分析
1.可用性需求
系统必须具备高可用性,以确保其在各种使用场景下能够稳定运行。为满足可用性要求,系统应当具备自恢复能力和冗余机制,避免因单点故障而导致的服务中断。具体而言,系统的部署架构应支持负载均衡和集群配置,通过多个实例的协作提高整体系统的可用性。系统应提供详尽的监控与告警机制,能够实时追踪系统运行状态,及时发现潜在问题并触发自动恢复操作或通知管理员。在用户体验方面,系统需要提供清晰的错误提示信息,并能够在发生异常时通过回滚操作或其他容错机制,保证用户的操作不受到严重影响。
2.可靠性需求
可靠性要求系统在长时间运行中保持稳定,能够有效应对各种可能的故障和压力。系统设计应支持高可用的数据库架构,采用数据库主从复制、分片等技术以实现数据的可靠存储与访问。应用层应具备容错能力,在面对硬件故障、网络中断等意外情况时,能够保持系统的正常服务或在故障恢复后迅速恢复数据和业务流程。系统应具备日志记录功能,能够全面记录操作过程和异常信息,从而为问题追踪与系统优化提供数据支持。系统的可靠性还需要通过压力测试和稳定性测试来验证,确保在大规模用户访问及高并发场景下能够正常运行,不发生崩溃或数据丢失现象。
3.安全性需求
系统的安全性需求必须得到高度重视,确保系统和用户数据的保密性、完整性和可用性。为实现数据安全,系统应采用加密技术,特别是在用户认证、敏感数据传输和存储过程中,采用SSL/TLS协议进行加密通信,确保数据在传输过程中不被窃取或篡改。系统应支持用户身份验证与授权管理,采用如OAuth、JWT等安全机制防止未授权访问。访问控制应细化到资源级别,确保不同角色的用户只能访问其权限范围内的功能。为了防止恶意攻击,系统还应加强对常见攻击方式(如SQL注入、XSS攻击、CSRF攻击等)的防护,通过输入验证、输出转义、会话管理等技术措施提高系统的安全性。系统应定期进行安全审计与漏洞扫描,及时发现并修补可能的安全漏洞,保障系统的长期安全运营。
3.3功能需求分析
功能需求分析是对系统所需功能进行详细描述的过程,明确系统的目标、功能模块及其相互关系。在此阶段,结合用户需求、业务流程和技术架构,识别系统必须实现的各项功能,并对其优先级、实现方式和约束条件进行梳理。通过功能需求分析,确保系统设计能够满足实际需求,且具有良好的可用性、可维护性和扩展性,为后续的系统开发和测试提供明确的指导和依据。功能性分析
3.3.1用户功能
平台用户模块:
- 注册登录:用户可以通过此功能创建新账户或通过现有账户登录平台,进行后续的民宿浏览、预定等操作。
- 首页:平台首页设计有轮播图,展示最新或热门的民宿信息,同时提供民宿资讯和民宿信息的快速入口,方便用户浏览最新动态和房源。
- 平台公告:用户可以浏览平台发布的最新公告,了解平台的最新政策、活动信息等。
- 民宿资讯:此功能允许用户浏览各类民宿相关的文章、新闻或旅行指南,用户可以对感兴趣的内容进行点赞、收藏或评论,与社区互动。
- 在线咨询:用户可以与商家进行实时沟通,通过文字、图片、文件等多种方式交流,还可以创建群聊,方便多人同时讨论预定事宜。
- 民宿信息:用户可以浏览详细的民宿信息,包括房型、价格、设施等,并可对心仪的民宿进行点赞、收藏、评论和预定操作。
- 我的账户:用户可以在此模块修改个人密码和资料,保证账户信息的安全性和准确性。
- 个人中心:提供个人首页、预定信息、入住信息、退房信息、收藏和评论管理等个人相关功能,方便用户管理自己的预定和互动记录。
平台用户角色用例如下图所示。
图3-1民宿业务管理系统平台用户角色用例图
商家用户模块:
- 注册登录:商家用户在注册后,需要等待系统管理员的审核通过,审核通过后方可登录系统。这一过程确保了平台的用户质量,防止未授权的商家进入系统。
- 后台首页:商家登录后,首先看到的是后台首页,这里提供了民宿信息统计和入住信息统计的概览。商家可以快速查看民宿的预订情况和入住情况,同时,后台首页还提供了账户管理入口,商家可以在此查看或修改个人信息和密码,保证账户安全。
- 民宿信息管理:在这一模块中,商家可以进行民宿信息的添加、删除和查询操作。商家可以详细查看民宿的各个详情,包括民宿的描述、图片、价格等信息。此外,商家还可以查看用户对民宿的评论,及时了解用户反馈,对民宿进行改进。
- 预定信息管理:商家可以查询和查看预定信息的详细情况,对预定进行审核,并安排入住。审核功能确保了预定的有效性和合理性,而安排入住则帮助商家高效管理民宿的入住流程。
- 入住信息管理:商家可以查询和查看入住信息的详细情况,包括入住时间、客户信息等。这一功能帮助商家更好地管理民宿的入住状态,确保服务的连贯性和质量。
- 退房信息管理:商家可以查询和查看退房信息的详细情况,并进行审核。审核退房信息有助于商家确认退房流程的正确性,及时处理退房后的清洁和维护工作。
商家用户角色用例如下图所示。
图3-2民宿业务管理系统商家用户角色用例图
管理员模块:
- 登录:管理员通过登录界面输入账号和密码,进入后台管理系统,进行各项操作和管理任务。
- 后台首页:管理员登录后首先进入后台首页,这里提供了一个功能导航栏,方便快速访问民宿信息统计、入住信息统计等关键数据,并可点击账户查看或修改个人信息和密码。
- 系统用户:此功能允许管理员管理平台用户,包括审核商家用户,以及添加、删除、查询和查看用户详情,确保平台用户信息的准确性和安全性。
- 客房类型管理:管理员可以在此添加、删除和查询不同类型的客房,并查看客房的详细信息,以维护和更新民宿的客房信息。
- 民宿信息管理:管理员可以添加新的民宿信息,删除或查询现有信息,并查看民宿的详细信息和用户评论,以保证民宿信息的准确性和及时性。
- 预定信息管理:管理员可以处理用户的预定请求,包括删除预定、查询预定详情、审核预定信息以及安排入住,确保预定流程的顺畅和高效。
- 入住信息管理:管理员可以管理入住信息,包括删除、查询和查看入住详情,以跟踪和记录用户的入住情况。
- 退房信息管理:管理员可以处理退房请求,包括删除、查询和审核退房信息,确保退房流程的准确性和及时性。
- 系统管理:此功能允许管理员管理平台的轮播图,包括添加、删除和查询轮播图详情,以吸引用户并展示重要信息。
- 平台公告管理:管理员可以发布和管理平台公告,包括添加、删除和查询公告详情,以向用户传达重要信息和更新。
- 资源管理:管理员可以管理民宿资讯及其分类,包括添加、删除、查询和查看资讯详情以及用户评论,以提供丰富的信息资源给用户。
管理员角色用例如下图所示。
图3-3民宿业务管理系统管理员角色用例图
3.4系统总体流程分析
3.4.1系统登录操作流程
用户首先进入系统登录界面,输入用户名和密码后,系统验证信息是否正确。若验证失败,返回登录界面重新输入,若验证成功,则进入功能界面,执行相应功能处理后结束操作流程。操作流程如下图所示。
图3-4系统登录操作流程图
3.4.2系统注册流程
用户进入注册页面后,首先需要填写注册信息,包括用户名、密码、邮箱等基本信息。系统会对用户输入的信息进行格式校验,确保信息的有效性和安全性。若信息填写不完整、格式不正确或用户名被占用,系统会提示用户重新填写。注册流程如下图所示。
图3-5注册流程图
3.4.3评论信息流程
在评论信息流程中,用户浏览民宿详情页面,可以对民宿发表评论。用户点击评论按钮后,进入评论编辑页面,填写评论内容、评分等相关信息。系统会对用户提交的评论内容进行审核,确保内容的合规性和真实性。审核通过后,评论信息将被保存到数据库中,并在民宿详情页面展示给其他用户查看。若审核不通过,系统会提示用户重新编辑评论内容。评论信息流程图如下图所示。
图3-6评论信息流程图
3.4.4用户预定民宿流程
首先,用户在平台首页或民宿信息页面浏览并选择心仪的民宿。系统提供详细的民宿信息,用户点击预定按钮,进入预定信息填写页面。系统根据用户选择自动计算预定费用。
用户确认预定信息无误后,系统生成预定订单。预定民宿流程图如下图所示。
图3-7预定民宿流程图
第四章 系统设计
4.1系统架构设计
系统由表现层、业务逻辑层、数据访问层和数据库服务器组成。表现层通过浏览器(如IE、Chrome、Firefox)与用户交互,采用FreeMarker、Bootstrap、jQuery等技术实现界面呈现。业务逻辑层负责处理系统的核心业务逻辑,通过分模块设计实现功能分离。数据访问层使用MyBatis框架连接数据库,执行数据的增删改查操作。数据库服务器采用MySQL进行数据存储和管理,为系统提供稳定的数据库支持。整个架构通过Tomcat服务器完成用户请求的接收和处理,确保系统的高效运行[9]。整个系统架构如图4-1所示。
图4-1 系统架构图
4.2系统模块设计
在上一章节中主要对系统的功能性需求和非功能性需求进行分析,并且根据需求分析了本民宿业务管理系统中的用例。那么接下来就要开始对本民宿业务管理系统的架构、主要功能和数据库开始进行设计。民宿业务管理系统根据前面章节的需求分析得出,民宿业务管理系统的功能模块图如下图所示。
图4-1民宿业务管理系统功能模块图
4.3数据库设计
数据库设计一般包括需求分析、概念模型设计、数据库表建立三大过程,其中需求分析前面章节已经阐述,概念模型设计有概念模型和逻辑结构设计两部分。
4.3.1数据库概念结构设计
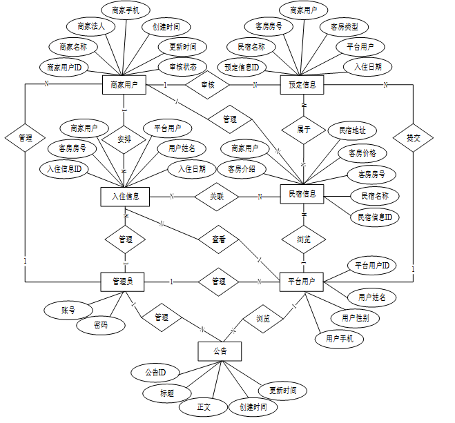
下面是整个民宿业务管理系统中主要的数据库表总E-R实体关系图。
图4-2民宿业务管理系统总E-R关系图
4.3.2数据库逻辑结构设计
通过上一小节中民宿业务管理系统中总E-R关系图上得出一共需要创建多个数据表。在此主要罗列几个主要的数据库表结构设计。
| 编号 |
字段名 |
类型 |
长度 |
是否非空 |
是否主键 |
注释 |
| 1 |
token_id |
int |
是 |
是 |
临时访问牌ID |
|
| 2 |
token |
varchar |
64 |
否 |
否 |
临时访问牌 |
| 3 |
info |
text |
65535 |
否 |
否 |
信息 |
| 4 |
maxage |
int |
是 |
否 |
最大寿命:默认2小时 |
|
| 5 |
create_time |
timestamp |
是 |
否 |
创建时间 |
|
| 6 |
update_time |
timestamp |
是 |
否 |
更新时间 |
|
| 7 |
user_id |
int |
是 |
否 |
用户编号 |
表 4-2-article(文章)
| 编号 |
字段名 |
类型 |
长度 |
是否非空 |
是否主键 |
注释 |
| 1 |
article_id |
mediumint |
是 |
是 |
文章id |
|
| 2 |
title |
varchar |
125 |
是 |
是 |
标题 |
| 3 |
type |
varchar |
64 |
是 |
否 |
文章分类 |
| 4 |
hits |
int |
是 |
否 |
点击数 |
|
| 5 |
praise_len |
int |
是 |
否 |
点赞数 |
|
| 6 |
create_time |
timestamp |
是 |
否 |
创建时间 |
|
| 7 |
update_time |
timestamp |
是 |
否 |
更新时间 |
|
| 8 |
source |
varchar |
255 |
否 |
否 |
来源 |
| 9 |
url |
varchar |
255 |
否 |
否 |
来源地址 |
| 10 |
tag |
varchar |
255 |
否 |
否 |
标签 |
| 11 |
content |
longtext |
4294967295 |
否 |
否 |
正文 |
| 12 |
img |
varchar |
255 |
否 |
否 |
封面图 |
| 13 |
description |
text |
65535 |
否 |
否 |
文章描述 |
表 4-3-article_type(文章分类)
| 编号 |
字段名 |
类型 |
长度 |
是否非空 |
是否主键 |
注释 |
| 1 |
type_id |
smallint |
是 |
是 |
分类ID |
|
| 2 |
display |
smallint |
是 |
否 |
显示顺序 |
|
| 3 |
name |
varchar |
16 |
是 |
否 |
分类名称 |
| 4 |
father_id |
smallint |
是 |
否 |
上级分类ID |
|
| 5 |
description |
varchar |
255 |
否 |
否 |
描述 |
| 6 |
icon |
text |
65535 |
否 |
否 |
分类图标 |
| 7 |
url |
varchar |
255 |
否 |
否 |
外链地址 |
| 8 |
create_time |
timestamp |
是 |
否 |
创建时间 |
|
| 9 |
update_time |
timestamp |
是 |
否 |
更新时间 |
表 4-4-auth(用户权限管理)
| 编号 |
字段名 |
类型 |
长度 |
是否非空 |
是否主键 |
注释 |
| 1 |
auth_id |
int |
是 |
是 |
授权ID |
|
| 2 |
user_group |
varchar |
64 |
否 |
否 |
用户组 |
| 3 |
mod_name |
varchar |
64 |
否 |
否 |
模块名 |
| 4 |
table_name |
varchar |
64 |
否 |
否 |
表名 |
| 5 |
page_title |
varchar |
255 |
否 |
否 |
页面标题 |
| 6 |
path |
varchar |
255 |
否 |
否 |
路由路径 |
| 7 |
parent |
varchar |
64 |
否 |
否 |
父级菜单 |
| 8 |
parent_sort |
int |
是 |
否 |
父级菜单排序 |
|
| 9 |
position |
varchar |
32 |
否 |
否 |
位置 |
| 10 |
mode |
varchar |
32 |
是 |
否 |
跳转方式 |
| 11 |
add |
tinyint |
是 |
否 |
是否可增加 |
|
| 12 |
del |
tinyint |
是 |
否 |
是否可删除 |
|
| 13 |
set |
tinyint |
是 |
否 |
是否可修改 |
|
| 14 |
get |
tinyint |
是 |
否 |
是否可查看 |
|
| 15 |
field_add |
text |
65535 |
否 |
否 |
添加字段 |
| 16 |
field_set |
text |
65535 |
否 |
否 |
修改字段 |
| 17 |
field_get |
text |
65535 |
否 |
否 |
查询字段 |
| 18 |
table_nav_name |
varchar |
500 |
否 |
否 |
跨表导航名称 |
| 19 |
table_nav |
varchar |
500 |
否 |
否 |
跨表导航 |
| 20 |
option |
text |
65535 |
否 |
否 |
配置 |
| 21 |
create_time |
timestamp |
是 |
否 |
创建时间 |
|
| 22 |
update_time |
timestamp |
是 |
否 |
更新时间 |
表 4-5-business_user(商家用户)
| 编号 |
字段名 |
类型 |
长度 |
是否非空 |
是否主键 |
注释 |
| 1 |
business_user_id |
int |
是 |
是 |
商家用户ID |
|
| 2 |
merchant_name |
varchar |
64 |
否 |
否 |
商家名称 |
| 3 |
business_legal_person |
varchar |
64 |
否 |
否 |
商家法人 |
| 4 |
merchant_mobile_phone |
varchar |
16 |
是 |
是 |
商家手机 |
| 5 |
examine_state |
varchar |
16 |
是 |
否 |
审核状态 |
| 6 |
user_id |
int |
是 |
否 |
用户ID |
|
| 7 |
create_time |
datetime |
是 |
否 |
创建时间 |
|
| 8 |
update_time |
timestamp |
是 |
否 |
更新时间 |
表 4-6-check_in_information(入住信息)
| 编号 |
字段名 |
类型 |
长度 |
是否非空 |
是否主键 |
注释 |
| 1 |
check_in_information_id |
int |
是 |
是 |
入住信息ID |
|
| 2 |
homestay_name |
varchar |
64 |
否 |
否 |
民宿名称 |
| 3 |
guest_room_number |
varchar |
64 |
否 |
否 |
客房房号 |
| 4 |
room_type |
varchar |
64 |
否 |
否 |
客房类型 |
| 5 |
room_price |
double |
否 |
否 |
客房价格 |
|
| 6 |
business_user |
int |
否 |
否 |
商家用户 |
|
| 7 |
platform_users |
int |
否 |
否 |
平台用户 |
|
| 8 |
user_name |
varchar |
64 |
否 |
否 |
用户姓名 |
| 9 |
id_number |
varchar |
255 |
否 |
否 |
身份证号 |
| 10 |
check_in_date |
date |
否 |
否 |
入住日期 |
|
| 11 |
check_out_application_limit_times |
int |
是 |
否 |
申请退房限制次数 |
|
| 12 |
create_time |
datetime |
是 |
否 |
创建时间 |
|
| 13 |
update_time |
timestamp |
是 |
否 |
更新时间 |
|
| 14 |
source_table |
varchar |
255 |
否 |
否 |
来源表 |
| 15 |
source_id |
int |
否 |
否 |
来源ID |
|
| 16 |
source_user_id |
int |
否 |
否 |
来源用户 |
表 4-7-check_out_application(退房信息)
| 编号 |
字段名 |
类型 |
长度 |
是否非空 |
是否主键 |
注释 |
| 1 |
check_out_application_id |
int |
是 |
是 |
退房信息ID |
|
| 2 |
homestay_name |
varchar |
64 |
否 |
否 |
民宿名称 |
| 3 |
guest_room_number |
varchar |
64 |
否 |
否 |
客房房号 |
| 4 |
room_type |
varchar |
64 |
否 |
否 |
客房类型 |
| 5 |
room_price |
double |
否 |
否 |
客房价格 |
|
| 6 |
business_user |
int |
否 |
否 |
商家用户 |
|
| 7 |
platform_users |
int |
否 |
否 |
平台用户 |
|
| 8 |
user_name |
varchar |
64 |
否 |
否 |
用户姓名 |
| 9 |
id_number |
varchar |
255 |
否 |
否 |
身份证号 |
| 10 |
check_in_date |
date |
否 |
否 |
入住日期 |
|
| 11 |
check_out_date |
date |
否 |
否 |
退房日期 |
|
| 12 |
examine_state |
varchar |
16 |
是 |
否 |
审核状态 |
| 13 |
create_time |
datetime |
是 |
否 |
创建时间 |
|
| 14 |
update_time |
timestamp |
是 |
否 |
更新时间 |
|
| 15 |
source_table |
varchar |
255 |
否 |
否 |
来源表 |
| 16 |
source_id |
int |
否 |
否 |
来源ID |
|
| 17 |
source_user_id |
int |
否 |
否 |
来源用户 |
表 4-8-code_token(验证码)
| 编号 |
字段名 |
类型 |
长度 |
是否非空 |
是否主键 |
注释 |
| 1 |
code_token_id |
int |
是 |
是 |
验证码ID |
|
| 2 |
token |
varchar |
255 |
否 |
否 |
令牌 |
| 3 |
code |
varchar |
255 |
否 |
否 |
验证码 |
| 4 |
expire_time |
timestamp |
是 |
否 |
失效时间 |
|
| 5 |
create_time |
timestamp |
是 |
否 |
创建时间 |
|
| 6 |
update_time |
timestamp |
是 |
否 |
更新时间 |
表 4-9-collect(收藏)
| 编号 |
字段名 |
类型 |
长度 |
是否非空 |
是否主键 |
注释 |
| 1 |
collect_id |
int |
是 |
是 |
收藏ID |
|
| 2 |
user_id |
int |
是 |
是 |
收藏人ID |
|
| 3 |
source_table |
varchar |
255 |
否 |
否 |
来源表 |
| 4 |
source_field |
varchar |
255 |
否 |
否 |
来源字段 |
| 5 |
source_id |
int |
是 |
否 |
来源ID |
|
| 6 |
title |
varchar |
255 |
否 |
否 |
标题 |
| 7 |
img |
varchar |
255 |
否 |
否 |
封面 |
| 8 |
create_time |
timestamp |
是 |
否 |
创建时间 |
|
| 9 |
update_time |
timestamp |
是 |
否 |
更新时间 |
表 4-10-comment(评论)
| 编号 |
字段名 |
类型 |
长度 |
是否非空 |
是否主键 |
注释 |
| 1 |
comment_id |
int |
是 |
是 |
评论ID |
|
| 2 |
user_id |
int |
是 |
是 |
评论人ID |
|
| 3 |
reply_to_id |
int |
是 |
否 |
回复评论ID |
|
| 4 |
content |
longtext |
4294967295 |
否 |
否 |
内容 |
| 5 |
nickname |
varchar |
255 |
否 |
否 |
昵称 |
| 6 |
avatar |
varchar |
255 |
否 |
否 |
头像地址 |
| 7 |
create_time |
timestamp |
是 |
否 |
创建时间 |
|
| 8 |
update_time |
timestamp |
是 |
否 |
更新时间 |
|
| 9 |
source_table |
varchar |
255 |
否 |
否 |
来源表 |
| 10 |
source_field |
varchar |
255 |
否 |
否 |
来源字段 |
| 11 |
source_id |
int |
是 |
否 |
来源ID |
表 4-11-hits(用户点击)
| 编号 |
字段名 |
类型 |
长度 |
是否非空 |
是否主键 |
注释 |
| 1 |
hits_id |
int |
是 |
是 |
点赞ID |
|
| 2 |
user_id |
int |
是 |
否 |
点赞人 |
|
| 3 |
create_time |
timestamp |
是 |
否 |
创建时间 |
|
| 4 |
update_time |
timestamp |
是 |
否 |
更新时间 |
|
| 5 |
source_table |
varchar |
255 |
否 |
否 |
来源表 |
| 6 |
source_field |
varchar |
255 |
否 |
否 |
来源字段 |
| 7 |
source_id |
int |
是 |
否 |
来源ID |
表 4-12-homestay_information(民宿信息)
| 编号 |
字段名 |
类型 |
长度 |
是否非空 |
是否主键 |
注释 |
| 1 |
homestay_information_id |
int |
是 |
是 |
民宿信息ID |
|
| 2 |
homestay_name |
varchar |
64 |
否 |
否 |
民宿名称 |
| 3 |
guest_room_picture |
varchar |
255 |
否 |
否 |
客房图片 |
| 4 |
guest_room_number |
varchar |
64 |
否 |
否 |
客房房号 |
| 5 |
room_type |
varchar |
64 |
否 |
否 |
客房类型 |
| 6 |
guest_room_status |
varchar |
64 |
否 |
否 |
客房状态 |
| 7 |
room_price |
double |
否 |
否 |
客房价格 |
|
| 8 |
homestay_address |
varchar |
64 |
否 |
否 |
民宿地址 |
| 9 |
business_user |
int |
否 |
否 |
商家用户 |
|
| 10 |
guest_room_presentation |
longtext |
4294967295 |
否 |
否 |
客房介绍 |
| 11 |
hits |
int |
是 |
否 |
点击数 |
|
| 12 |
praise_len |
int |
是 |
否 |
点赞数 |
|
| 13 |
collect_len |
int |
是 |
否 |
收藏数 |
|
| 14 |
comment_len |
int |
是 |
否 |
评论数 |
|
| 15 |
scheduled_information_limit_times |
int |
是 |
否 |
预定限制次数 |
|
| 16 |
create_time |
datetime |
是 |
否 |
创建时间 |
|
| 17 |
update_time |
timestamp |
是 |
否 |
更新时间 |
表 4-13-notice(公告)
| 编号 |
字段名 |
类型 |
长度 |
是否非空 |
是否主键 |
注释 |
| 1 |
notice_id |
mediumint |
是 |
是 |
公告ID |
|
| 2 |
title |
varchar |
125 |
是 |
否 |
标题 |
| 3 |
content |
longtext |
4294967295 |
否 |
否 |
正文 |
| 4 |
create_time |
timestamp |
是 |
否 |
创建时间 |
|
| 5 |
update_time |
timestamp |
是 |
否 |
更新时间 |
表 4-14-platform_users(平台用户)
| 编号 |
字段名 |
类型 |
长度 |
是否非空 |
是否主键 |
注释 |
| 1 |
platform_users_id |
int |
是 |
是 |
平台用户ID |
|
| 2 |
user_name |
varchar |
64 |
否 |
否 |
用户姓名 |
| 3 |
user_gender |
varchar |
64 |
否 |
否 |
用户性别 |
| 4 |
users_mobile_phone |
varchar |
16 |
是 |
是 |
用户手机 |
| 5 |
examine_state |
varchar |
16 |
是 |
否 |
审核状态 |
| 6 |
user_id |
int |
是 |
否 |
用户ID |
|
| 7 |
create_time |
datetime |
是 |
否 |
创建时间 |
|
| 8 |
update_time |
timestamp |
是 |
否 |
更新时间 |
表 4-15-praise(点赞)
| 编号 |
字段名 |
类型 |
长度 |
是否非空 |
是否主键 |
注释 |
| 1 |
praise_id |
int |
是 |
是 |
点赞ID |
|
| 2 |
user_id |
int |
是 |
是 |
点赞人 |
|
| 3 |
create_time |
timestamp |
是 |
否 |
创建时间 |
|
| 4 |
update_time |
timestamp |
是 |
否 |
更新时间 |
|
| 5 |
source_table |
varchar |
255 |
否 |
否 |
来源表 |
| 6 |
source_field |
varchar |
255 |
否 |
否 |
来源字段 |
| 7 |
source_id |
int |
是 |
否 |
来源ID |
|
| 8 |
status |
tinyint |
是 |
否 |
点赞状态:1为点赞,0已取消 |
表 4-16-room_type(客房类型)
| 编号 |
字段名 |
类型 |
长度 |
是否非空 |
是否主键 |
注释 |
| 1 |
room_type_id |
int |
是 |
是 |
客房类型ID |
|
| 2 |
room_type |
varchar |
64 |
否 |
否 |
客房类型 |
| 3 |
create_time |
datetime |
是 |
否 |
创建时间 |
|
| 4 |
update_time |
timestamp |
是 |
否 |
更新时间 |
表 4-17-scheduled_information(预定信息)
| 编号 |
字段名 |
类型 |
长度 |
是否非空 |
是否主键 |
注释 |
| 1 |
scheduled_information_id |
int |
是 |
是 |
预定信息ID |
|
| 2 |
homestay_name |
varchar |
64 |
否 |
否 |
民宿名称 |
| 3 |
guest_room_number |
varchar |
64 |
否 |
否 |
客房房号 |
| 4 |
room_type |
varchar |
64 |
否 |
否 |
客房类型 |
| 5 |
room_price |
double |
否 |
否 |
客房价格 |
|
| 6 |
business_user |
int |
否 |
否 |
商家用户 |
|
| 7 |
platform_users |
int |
否 |
否 |
平台用户 |
|
| 8 |
user_name |
varchar |
64 |
否 |
否 |
用户姓名 |
| 9 |
id_number |
varchar |
255 |
否 |
否 |
身份证号 |
| 10 |
check_in_date |
date |
否 |
否 |
入住日期 |
|
| 11 |
stay_days |
double |
否 |
否 |
入住天数 |
|
| 12 |
total_amount |
double |
否 |
否 |
合计金额 |
|
| 13 |
examine_state |
varchar |
16 |
是 |
否 |
审核状态 |
| 14 |
examine_reply |
varchar |
255 |
否 |
否 |
审核回复 |
| 15 |
pay_state |
varchar |
16 |
是 |
否 |
支付状态 |
| 16 |
pay_type |
varchar |
16 |
否 |
否 |
支付类型: 微信、支付宝、网银 |
| 17 |
check_in_information_limit_times |
int |
是 |
否 |
安排入住限制次数 |
|
| 18 |
create_time |
datetime |
是 |
否 |
创建时间 |
|
| 19 |
update_time |
timestamp |
是 |
否 |
更新时间 |
|
| 20 |
source_table |
varchar |
255 |
否 |
否 |
来源表 |
| 21 |
source_id |
int |
否 |
否 |
来源ID |
|
| 22 |
source_user_id |
int |
否 |
否 |
来源用户 |
表 4-18-slides(轮播图)
| 编号 |
字段名 |
类型 |
长度 |
是否非空 |
是否主键 |
注释 |
| 1 |
slides_id |
int |
是 |
是 |
轮播图ID |
|
| 2 |
title |
varchar |
64 |
否 |
否 |
标题 |
| 3 |
content |
varchar |
255 |
否 |
否 |
内容 |
| 4 |
url |
varchar |
255 |
否 |
否 |
链接 |
| 5 |
img |
varchar |
255 |
否 |
否 |
轮播图 |
| 6 |
hits |
int |
是 |
否 |
点击量 |
|
| 7 |
create_time |
timestamp |
是 |
否 |
创建时间 |
|
| 8 |
update_time |
timestamp |
是 |
否 |
更新时间 |
表 4-19-upload(文件上传)
| 编号 |
字段名 |
类型 |
长度 |
是否非空 |
是否主键 |
注释 |
| 1 |
upload_id |
int |
是 |
是 |
上传ID |
|
| 2 |
name |
varchar |
64 |
否 |
否 |
文件名 |
| 3 |
path |
varchar |
255 |
否 |
否 |
访问路径 |
| 4 |
file |
varchar |
255 |
否 |
否 |
文件路径 |
| 5 |
display |
varchar |
255 |
否 |
否 |
显示顺序 |
| 6 |
father_id |
int |
否 |
否 |
父级ID |
|
| 7 |
dir |
varchar |
255 |
否 |
否 |
文件夹 |
| 8 |
type |
varchar |
32 |
否 |
否 |
文件类型 |
表 4-20-user(用户账户)
| 编号 |
字段名 |
类型 |
长度 |
是否非空 |
是否主键 |
注释 |
| 1 |
user_id |
int |
是 |
是 |
用户ID |
|
| 2 |
state |
smallint |
是 |
否 |
账户状态:(1可用|2异常|3已冻结|4已注销) |
|
| 3 |
user_group |
varchar |
32 |
否 |
否 |
所在用户组 |
| 4 |
login_time |
timestamp |
是 |
否 |
上次登录时间 |
|
| 5 |
phone |
varchar |
11 |
否 |
否 |
手机号码 |
| 6 |
phone_state |
smallint |
是 |
否 |
手机认证:(0未认证|1审核中|2已认证) |
|
| 7 |
username |
varchar |
16 |
是 |
否 |
用户名 |
| 8 |
nickname |
varchar |
16 |
否 |
否 |
昵称 |
| 9 |
password |
varchar |
64 |
是 |
否 |
密码 |
| 10 |
|
varchar |
64 |
否 |
否 |
邮箱 |
| 11 |
email_state |
smallint |
是 |
否 |
邮箱认证:(0未认证|1审核中|2已认证) |
|
| 12 |
avatar |
varchar |
255 |
否 |
否 |
头像地址 |
| 13 |
open_id |
varchar |
255 |
否 |
否 |
针对获取用户信息字段 |
| 14 |
create_time |
timestamp |
是 |
否 |
创建时间 |
表 4-21-user_chat_friend(聊天用户好友)
| 编号 |
字段名 |
类型 |
长度 |
是否非空 |
是否主键 |
注释 |
| 1 |
user_chat_friend_id |
int |
是 |
是 |
ID |
|
| 2 |
user_id |
int |
是 |
否 |
用户ID |
|
| 3 |
friend_user_id |
int |
是 |
否 |
用户好友ID |
|
| 4 |
friend_user_name |
varchar |
255 |
否 |
否 |
好友名称 |
| 5 |
create_time |
timestamp |
是 |
否 |
创建时间 |
|
| 6 |
update_time |
timestamp |
是 |
否 |
更新时间 |
表 4-22-user_chat_group(聊天用户群聊)
| 编号 |
字段名 |
类型 |
长度 |
是否非空 |
是否主键 |
注释 |
| 1 |
user_chat_group_id |
int |
是 |
是 |
ID |
|
| 2 |
group_id |
int |
否 |
否 |
群聊ID |
|
| 3 |
group_name |
varchar |
255 |
否 |
否 |
群聊名称 |
| 4 |
user_id |
int |
否 |
否 |
用户ID |
|
| 5 |
create_time |
timestamp |
是 |
否 |
创建时间 |
|
| 6 |
update_time |
timestamp |
是 |
否 |
更新时间 |
表 4-23-user_chat_read(聊天用户消息)
| 编号 |
字段名 |
类型 |
长度 |
是否非空 |
是否主键 |
注释 |
| 1 |
user_chat_read_id |
varchar |
255 |
是 |
是 |
ID |
| 2 |
user_id |
int |
否 |
否 |
接收人ID |
|
| 3 |
send_user_id |
int |
否 |
否 |
发送人ID |
|
| 4 |
group_id |
int |
否 |
否 |
群聊ID |
|
| 5 |
type |
int |
否 |
否 |
类型1-点对点消息,2-群聊消息 |
|
| 6 |
create_time |
timestamp |
否 |
否 |
时间 |
|
| 7 |
message |
text |
65535 |
否 |
否 |
消息 |
表 4-24-user_group(用户组)
| 编号 |
字段名 |
类型 |
长度 |
是否非空 |
是否主键 |
注释 |
| 1 |
group_id |
mediumint |
是 |
是 |
用户组ID |
|
| 2 |
display |
smallint |
是 |
否 |
显示顺序 |
|
| 3 |
name |
varchar |
16 |
是 |
否 |
名称 |
| 4 |
description |
varchar |
255 |
否 |
否 |
描述 |
| 5 |
source_table |
varchar |
255 |
否 |
否 |
来源表 |
| 6 |
source_field |
varchar |
255 |
否 |
否 |
来源字段 |
| 7 |
source_id |
int |
是 |
否 |
来源ID |
|
| 8 |
register |
smallint |
否 |
否 |
注册位置 |
|
| 9 |
create_time |
timestamp |
是 |
否 |
创建时间 |
|
| 10 |
update_time |
timestamp |
是 |
否 |
更新时间 |
第五章 系统实现
5.1前端首页模块
首页展示轮播图广告、热门民宿推荐与最新民宿资讯,采用图文结合的方式提升用户体验。用户可滑动查看宣传图片,点击资讯或民宿卡片进入详情页面,快速获取感兴趣的内容和房源信息。前台首页模块展示如下图所示。
图5-1前台首页模块图
5.2用户注册模块
在民宿业务管理系统中,非正式用户亦可进行在线注册。用户需填写账号、设定密码、确认密码、昵称、邮箱、手机号、身份信息以及用户姓名和性别等资料,随后点击“注册”按钮。系统首先检查是否有遗漏的输入项,接着核对密码与确认密码是否一致,最后确认所输入的账户名是否与数据库中已存在的账户名重复。只有通过所有验证步骤,用户才能成功注册。注册模块展示如下图所示。
图5-2注册模块图
5.3登录模块
在民宿业务管理系统前台,用户注册后能够使用自己的用户名和密码进行登录。用户在输入完整的用户名和密码后点击“登录”按钮,系统会先检查是否有遗漏的数据输入,随后比对输入的用户名和密码与数据库中存储的信息是否匹配。只有当两者完全一致时,用户才能成功登录并被重定向至首页;否则,系统会显示相应的错误提示。登录模块如下图所示。
图5-3登录模块图
5.4平台用户功能模块
5.4.1民宿资讯模块
该功能提供丰富的民宿相关文章,用户可在线阅读、点赞、收藏感兴趣的内容,并发表评论与其他读者互动。系统记录用户的操作行为,便于在个人中心查看历史浏览记录,提升内容推荐精准度。模块如下图所示。
图5-4民宿资讯模块图
5.4.2在线咨询模块
用户可与商家建立好友关系,通过聊天窗口发送文字、图片、文件等多种类型的消息,咨询房源细节。支持创建群聊,便于多人沟通,提升沟通效率,满足复杂预订需求的交流场景。模块如下图所示。
图5-5在线咨询模块图
5.4.3民宿信息模块
用户可按条件筛选并浏览民宿列表,查看房源详情页中的房型、价格、配套设施等信息。支持点赞、收藏、评论操作,并可直接点击“预定”按钮进入订单提交流程,提升查找与预订体验。模块如下图所示。
图5-6民宿信息模块图
图5-7民宿信息预定模块图
5.4.4个人中心模块
个人中心集成用户核心数据管理功能,包括预定信息支付、入住信息查看或退房申请、退房信息查询,以及收藏的民宿和发布的评论管理。界面清晰展示各类信息状态,方便用户随时掌握行程安排与互动历史。模块如下图所示。
图5-8个人中心模块图
5.5商家用户功能模块
5.5.1民宿信息管理模块
商家可对民宿信息进行增删查改操作,维护房源基础数据,如房型、价格、配套设施等。系统支持详情页预览,商家可查看用户评论内容,及时了解客户反馈,优化服务质量,提升房源竞争力。模块如下图所示。
图5-9民宿信息管理添加模块图
5.5.2预定信息管理模块
该模块用于管理用户的预订订单,商家可查询订单列表,查看详情并进行审核操作,确认是否接受预订。审核通过后可安排具体房间,更新订单状态,提高订单处理效率与服务响应速度。模块如下图所示。
图5-10预定信息管理模块图
5.5.3退房信息管理模块
退房模块用于处理用户离店申请,商家可查询待审核退房订单,核对实际退房时间与费用结算情况。审核完成后更新订单状态,并生成账单明细,为财务管理和数据分析提供可靠依据。模块如下图所示。
图5-11退房信息管理模块图
5.6管理员功能模块
5.6.1后台首页模块
后台首页集成关键运营数据可视化展示,包括民宿总量、入住率趋势、订单状态分布等统计图表。页面提供清晰的功能导航栏,支持快速跳转至用户管理、房源管理、订单处理等模块,提升整体操作效率与决策支持能力。模块如下图所示。
图5-12后台首页模块图
5.6.2系统用户模块
系统用户管理功能允许管理员对系统中的用户进行全面管理。管理员可以添加用户、修改用户信息、设定用户角色以及处理用户账号的停用或删除。这一功能确保了系统用户信息的准确性和安全性,也方便管理员根据实际需要调整用户权限。流程图如下所示。
图5-13用户管理流程图
系统用户模块如下图所示。
图5-14系统用户模块图
5.6.3客房类型管理模块
管理员可对客房类型进行统一管理,包括新增房型名称、描述等基础信息,以及删除不再适用的类型。支持按条件查询房型列表,查看详情内容,为民宿分类管理提供标准化的数据支撑。模块如下图所示。
图5-15客房类型管理模块图
5.6.4系统管理模块
系统管理模块包含轮播图与平台公告的基础配置功能。管理员可添加、删除、查询和查看详情轮播图资源,发布或更新平台公告,确保首页内容及时更新,提升平台互动性与信息传达效率。模块如下图所示。
图5-16轮播图管理模块图
5.6.5资源管理模块
资源管理涵盖民宿资讯及其分类的维护工作。管理员可添加或删除资讯内容与分类标签,支持按条件查询并查看详情,同时可查看用户评论内容,提升内容管理效率与平台信息质量。模块如下图所示。
图5-17民宿资讯管理模块图
第六章 系统测试
6.1系统测试的目的
测试的主要目的是确保系统的功能和性能满足预期的需求,同时识别和修复潜在的缺陷。通过系统测试,可以验证各个功能模块的正确性和稳定性,确保系统在不同使用场景下的表现符合设计要求。测试目的包括确认系统功能的完整性、验证数据处理的准确性、评估系统的性能和安全性[10]。测试还可以提高用户满意度,保证用户在使用系统时获得流畅和可靠的体验。通过全面的测试,可以降低后期维护成本,减少系统上线后出现故障的风险,从而保障系统的长期稳定运行。
6.2测试方法
在本系统中,测试方法主要依赖于测试用例的设计与执行。测试用例是根据系统需求文档编写的,覆盖所有功能模块及其边界情况。每个测试用例包含输入数据、预期结果和实际结果的对比,以验证系统的功能是否按预期工作。
常见的测试用例包括功能测试用例、边界测试用例和异常测试用例。功能测试用例针对系统的各项功能进行验证;边界测试用例则侧重于输入数据的边界条件,验证系统在极端情况下是否能够稳定运行;异常测试用例则用于验证系统在处理错误输入或异常情况时的反应。本文选择功能测试用例进行系统测试。
在测试执行过程中,记录每个用例的执行结果,并根据实际结果与预期结果的对比,判断系统是否存在缺陷。通过系统化的测试用例执行,可以有效提高测试的覆盖率和效率,为系统的最终上线提供保障。
6.3测试内容
民宿信息浏览功能测试用例表是用来验证用户能否正确浏览和筛选民宿信息的测试用例。民宿信息浏览功能测试用例表如表6-1所示。
表6-1 民宿信息浏览功能测试用例
| 测试项 |
测试用例 |
预期结果 |
结论 |
| 民宿信息浏览功能测试 |
1. 打开民宿信息浏览页面。 |
页面正常加载,显示民宿信息列表。 |
与预期结果一致。 |
| 民宿信息浏览功能测试 |
2. 选择筛选条件。 |
筛选条件被成功选中。 |
与预期结果一致。 |
| 民宿信息浏览功能测试 |
3. 点击搜索按钮。 |
系统根据筛选条件进行搜索。 |
与预期结果一致。 |
| 民宿信息浏览功能测试 |
4. 查看筛选结果。 |
页面显示符合条件的民宿信息列表。 |
与预期结果一致。 |
添加民宿信息功能测试用例表是用来验证用户能否正确添加民宿信息的测试用例。添加民宿信息功能测试用例表如表6-2所示。
表6-2 添加民宿信息功能测试用例
| 测试项 |
测试用例 |
预期结果 |
结论 |
| 添加民宿信息功能测试 |
1. 打开添加民宿信息页面。 |
页面正常加载,显示信息填写表单。 |
与预期结果一致。 |
| 添加民宿信息功能测试 |
2. 填写基本信息(名称、描述、性别等)。 |
信息成功输入并保存。 |
与预期结果一致。 |
| 添加民宿信息功能测试 |
3. 上传房间照片。 |
照片成功上传并显示预览。 |
与预期结果一致。 |
| 添加民宿信息功能测试 |
4. 点击提交按钮。 |
页面提示信息提交成功,并显示等待审核状态。 |
与预期结果一致。 |
预定功能测试用例表是用来验证用户能否正确提交预定的测试用例。预定功能测试用例表如表6-3所示。
表6-3 预定功能测试用例
| 测试项 |
测试用例 |
预期结果 |
结论 |
| 预定功能测试 |
1. 打开民宿信息页面。 |
页面正常加载,显示目标民宿信息及预定表单。 |
与预期结果一致。 |
| 预定功能测试 |
2. 选择目标民宿。 |
目标民宿信息成功加载到预定表单中。 |
与预期结果一致。 |
| 预定功能测试 |
3. 填写预定表。 |
信息成功输入并保存。 |
与预期结果一致。 |
| 预定功能测试 |
4. 点击提交按钮。 |
页面提示预定提交成功,并显示预定状态。 |
与预期结果一致。 |
评论管理功能测试用例表是用来验证用户能否正确发表和管理评论的测试用例。评论管理功能测试用例表如表6-4所示。
表6-4 评论管理功能测试用例
| 测试项 |
测试用例 |
预期结果 |
结论 |
| 评论管理功能测试 |
1. 打开评论管理页面。 |
页面正常加载,显示评论列表及输入框。 |
与预期结果一致。 |
| 评论管理功能测试 |
2. 选择目标商品。 |
目标商品的评论列表成功加载。 |
与预期结果一致。 |
| 评论管理功能测试 |
3. 输入评论内容。 |
评论内容成功输入并显示在输入框中。 |
与预期结果一致。 |
| 评论管理功能测试 |
4. 点击提交按钮。 |
评论成功发布并显示在评论列表中。 |
与预期结果一致。 |
用户管理功能测试用例表是用来验证管理员能否正确管理用户信息的测试用例。用户管理功能测试用例表如表6-5所示。
表6-5 用户管理功能测试用例
| 测试项 |
测试用例 |
预期结果 |
结论 |
| 用户管理功能测试 |
1. 打开用户管理页面。 |
页面正常加载,显示用户列表及操作选项。 |
与预期结果一致。 |
| 用户管理功能测试 |
2. 选择目标用户。 |
目标用户信息成功加载到编辑界面。 |
与预期结果一致。 |
| 用户管理功能测试 |
3. 修改用户权限或状态。 |
用户权限或状态成功更新。 |
与预期结果一致。 |
| 用户管理功能测试 |
4. 点击保存按钮。 |
用户信息成功更新并显示在用户列表中。 |
与预期结果一致。 |
6.4测试结论
通过对民宿信息浏览功能的测试,系统能够正常加载民宿信息页面,用户可根据筛选条件成功搜索并查看符合条件的民宿信息列表,所有操作均与预期结果一致。添加民宿信息功能的测试结果表明,用户能够顺利填写房间基本信息并上传照片,提交后系统正确提示信息提交成功。预定功能的测试验证了用户能够选择目标房间并填写预定信息表,提交后系统提示预定成功。评论管理功能的测试表明,用户能够选择目标民宿并发表评论,评论成功显示在评论列表中。用户管理功能的测试验证了管理员能够选择目标用户并修改其权限或状态,保存后用户信息成功更新并显示在列表中。所有功能测试结果均与预期一致,系统功能运行正常。
结 论
本系统基于Spring Boot框架与Java语言开发,结合MySQL数据库,实现了民宿业务的全流程管理。通过模块化设计,系统支持平台用户、商家用户和管理员三类角色的操作需求,涵盖房源浏览、在线预订、订单审核、入住退房管理、资讯互动等多项核心功能。前端交互逻辑清晰,后端数据处理高效,满足了民宿行业对信息整合与业务协同的基本要求。
在开发过程中,掌握了Spring Boot项目的搭建与配置方法,熟悉了MVC架构的设计思路,并深入理解了RBAC权限控制模型的应用方式。通过实际编码与调试,提升了对Web应用开发流程的整体把控能力,强化了前后端数据交互与业务逻辑实现的能力。同时,对数据库设计规范与优化策略有了更直观的认识。
未来可进一步拓展功能,提升用户体验度。在数据层面,可通过引入缓存机制提高系统响应速度,增强高并发场景下的稳定性。可探索与其他第三方服务对接,如电子合同签署、支付安全验证等,推动系统向更完善的方向发展。
参考文献
- 尹应荆.JAVA编程语言在计算机软件开发中的应用[J].石河子科技,2023,(05):45-47.
- 刘江涛,王亮亮,吴庆茹,等.基于B/S模式的铁路勘测设计案例信息化管理系统设计与实现[J].铁路计算机应用,2021,30(03):32-35.
- 张丹丹,李弘.基于B/S架构的办公管理系统设计与开发[J].铁路通信信号工程技术,2024,21(09):44-48+106.
- 王志亮,纪松波.基于SpringBoot的Web前端与数据库的接口设计[J].工业控制计算机,2023,36(03):51-53.
- 熊永平.基于SpringBoot框架应用开发技术的分析与研究[J].电脑知识与技术,2021,15(36):76-77.
- 赵媛.基于Vue的Web系统前端性能优化分析[J].电脑编程技巧与维护,2024,(09):44-46.
- 秦冬.浅析Vue框架在前端开发中的应用[J].信息与电脑(理论版),2024,36(13):61-63.
- 李艳杰.MySQL数据库下存储过程的综合运用研究[J].现代信息科技,2023,7(11):80-82+88.
- 周晓玉,崔文超.基于Web技术的数据库应用系统设计[J].信息与电脑(理论版),2023,35(09):189-191.
- 李俊萌.计算机软件测试技术与开发应用策略分析[J].信息记录材料,2023,24(03):50-52.
- Java Sunrise Coffee: Better Beans, and Better Coffee [J]. M2 Presswire, 2025,
- Salunke V S ,Ouda A . A Performance Benchmark for the PostgreSQL and MySQL Databases [J]. Future Internet, 2024, 16 (10): 382-382.
- Shao W ,Liu K . Design and Implementation of Online Ordering System Based on springboot [J]. Journal of Big Data and Computing, 2024, 2 (3):
- 嵇淼珂,李啸虎.乡村旅游背景下民宿的研究综述[J].上海节能,2025,(03):328-339.
- 邢博,毛慧茹.依托民宿发展康养旅游的可行性、挑战与对策[J/OL].四川旅游学院学报,1-13[2025-05-14].
- 徐强,丁琳.基于智慧化理念的乡村民宿建筑优化设计策略探究[J].建筑与文化,2025,(03):282-284.
- 王彩彩,王松,郭振飞.乡村民宿数字化转型的影响因素及其作用机制[J].中国生态旅游,2025,15(01):187-198.
- 徐小桃.乡村振兴视角下广西脱贫地区民族村寨民宿产业发展的机制研究[J].中国市场,2025,(06):9-12.
- 包曾婷.乡村旅游背景下旅游民宿发展模式与路径[J].旅游纵览,2025,(04):142-144.
- 徐强,黄雅婧.从旅游民宿到民宿旅游:贵州民宿产业高质量发展路径研究[J].四川旅游学院学报,2025,(02):62-66.
致 谢
民宿业务管理系统设计与实现工作已结束,虽然过程中充满挑战,但内心充满自豪和满足。感谢大学四年间教导我的所有老师,他们的专业知识与人生智慧让我成长为能独立完成系统的学生。特别感谢指导老师,他耐心解答疑惑,引导我解决问题,提升自主解决能力。室友和同学们的宝贵建议和支持也让我取得长足进步。未来,我将继续努力追求卓越,不辜负所学所悟和老师期望。坚信坚定信念和不懈努力,未来定能取得更辉煌成就。期待更美好未来!
民宿业务管理系统设计与实现不仅是技术挑战,挫折和困难是成长的垫脚石,让我更深入理解问题,精确找到解决方案。每次解决问题,都感到满足和自豪。
对于未来,我充满期待和信心。无论道路多崎岖,只要保持坚定信念,持续努力,定能取得更大成就。期待将知识和技能运用到实际中,为社会做出更大贡献。
最后,感谢所有帮助和支持我的人。你们的教诲、鼓励和支持让我有今天的成就。我会继续努力,不辜负期望,为实现更美好的未来而奋斗。